Официальное опубликование правовых актов
ОФИЦИАЛЬНОЕ ОПУБЛИКОВАНИЕ
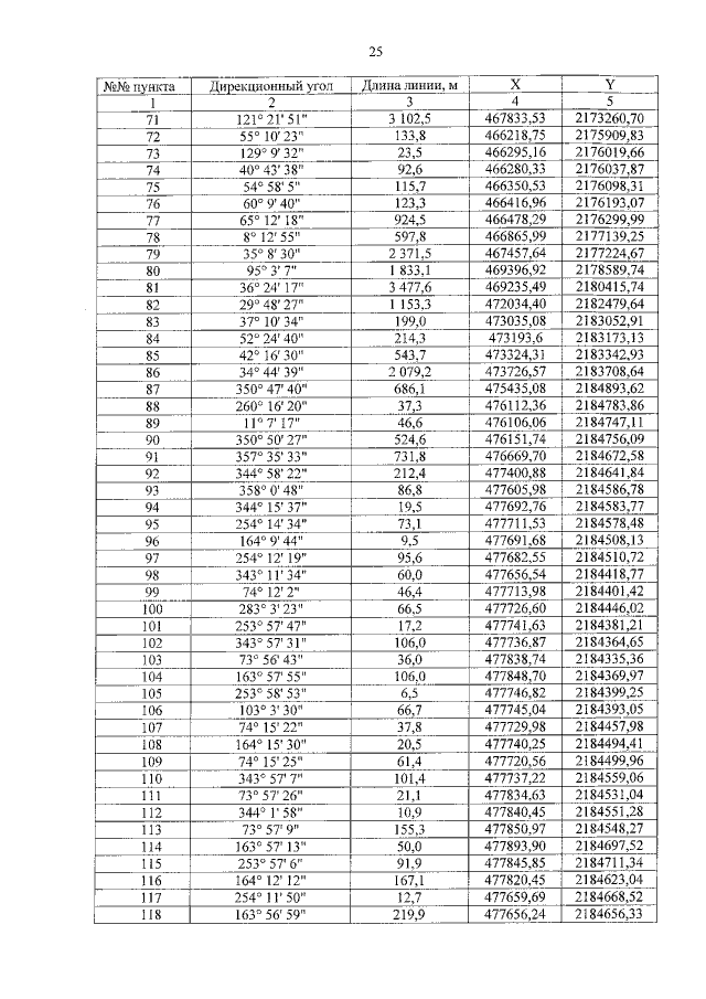
Приказ Министерства строительства, транспорта и дорожного хозяйства Омской области от 14.05.2021 № 54-п
"О внесении изменений в приказ Министерства строительства и жилищно-коммунального комплекса Омской области от 3 декабря 2018 года № 58-п"
Номер опубликования: 5501202105200007
Дата опубликования: 20.05.2021
Страница №27 из 31:
Увеличить