Официальное опубликование правовых актов
ОФИЦИАЛЬНОЕ ОПУБЛИКОВАНИЕ
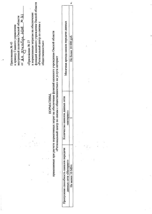
Приказ Главного управления внутренней политики Омской области от 24.12.2018 № 21
"О внесении изменений в приказ Главного управления внутренней политики Омской области от 5 сентября 2016 года № 22 "Об утверждении нормативных затрат на обеспечение функций Главного управления внутренней политики Омской области и казенного учреждения Омской области "Региональный центр по связям с общественностью"
Номер опубликования: 5501201812250003
Дата опубликования: 25.12.2018
Страница №59 из 72:
Увеличить