Официальное опубликование правовых актов
ОФИЦИАЛЬНОЕ ОПУБЛИКОВАНИЕ
Приказ Министерства строительства Новосибирской области от 21.06.2024 № 121-НПА
"О внесении изменений в приказ министерства строительства Новосибирской области от 23.11.2020 № 604"
(Зарегистрирован 21.06.2024 № 121-НПА)
Номер опубликования: 5401202406240002
Дата опубликования: 24.06.2024
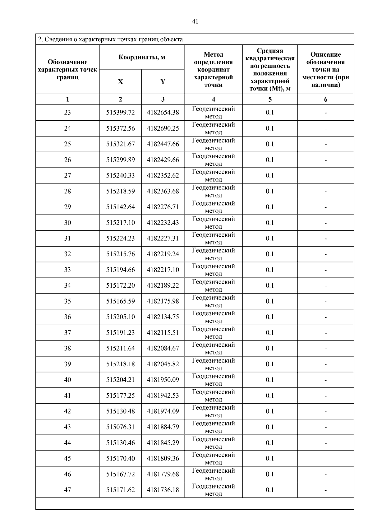
Страница №48 из 65:
Увеличить