Официальное опубликование правовых актов
ОФИЦИАЛЬНОЕ ОПУБЛИКОВАНИЕ
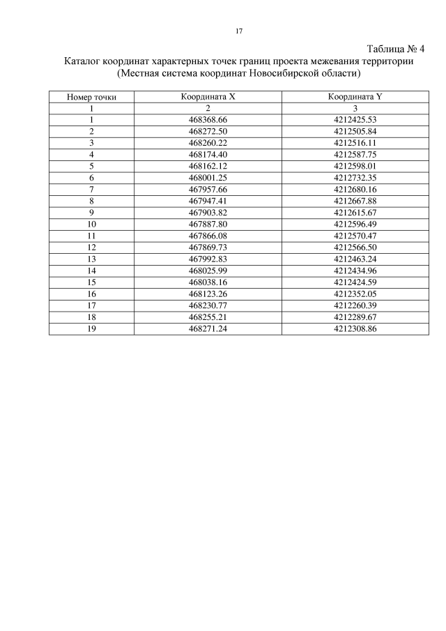
Приказ Министерства строительства Новосибирской области от 27.12.2021 № 841
"Об утверждении проекта межевания территории жилой группы № 3 (ЖСК Сигма) в границах поселка Каинская Заимка Барышевского сельсовета Новосибирского района Новосибирской области"
Номер опубликования: 5401202112280010
Дата опубликования: 28.12.2021
Страница №21 из 28:
Увеличить