Официальное опубликование правовых актов
ОФИЦИАЛЬНОЕ ОПУБЛИКОВАНИЕ
Постановление Правительства Новосибирской области от 03.09.2018 № 375-п
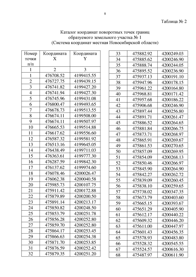
"Об утверждении проекта планировки территории для размещения объекта регионального значения автомобильной дороги межмуниципального значения "Советское шоссе" в границах муниципальных образований Новосибирской области: рабочий поселок Краснообск Новосибирского района, Мичуринский сельсовет Новосибирского района и проекта межевания территории в его составе"
Номер опубликования: 5400201809060001
Дата опубликования: 06.09.2018
Страница №29 из 34:
Увеличить