Официальное опубликование правовых актов
ОФИЦИАЛЬНОЕ ОПУБЛИКОВАНИЕ
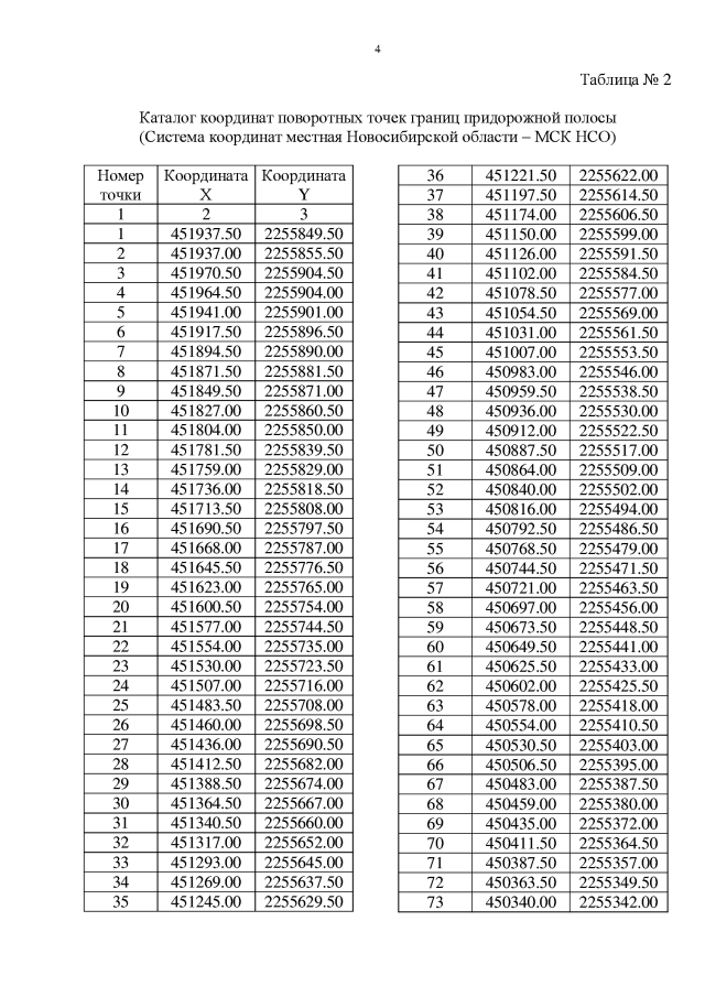
Постановление Правительства Новосибирской области от 26.06.2018 № 274-п
"Об утверждении проекта планировки территории для размещения объекта регионального значения автомобильной дороги межмуниципального значения "Богатиха – Новорозино (в гр. района)" в границах муниципального образования Новониколаевский сельсовет Барабинского района Новосибирской области и проекта межевания территории в его составе"
Номер опубликования: 5400201807020013
Дата опубликования: 02.07.2018
Страница №27 из 31:
Увеличить