Официальное опубликование правовых актов
ОФИЦИАЛЬНОЕ ОПУБЛИКОВАНИЕ
Приказ Министерства градостроительной деятельности и развития агломераций Нижегородской области от 08.04.2024 № 06-01-03/12
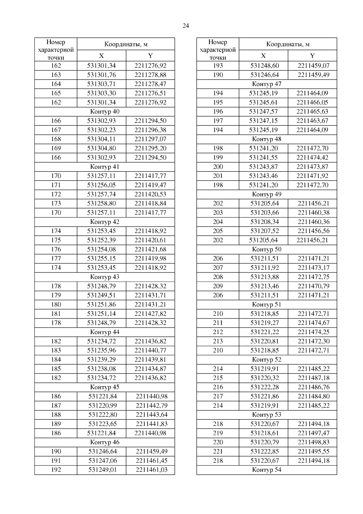
"Об утверждении документации по планировке территории, расположенной от станции метро "Буревестник" по Сормовскому шоссе, ул. Народной в Московском районе, по ул. Гордеевской до станции метро "Московская" в Канавинском районе г.о.г. Нижний Новгород"
(Зарегистрирован 18.04.2024 № 25440-330-006-01-03/12)
Номер опубликования: 5201202404190002
Дата опубликования: 19.04.2024
Страница №26 из 100:
Увеличить