Официальное опубликование правовых актов
ОФИЦИАЛЬНОЕ ОПУБЛИКОВАНИЕ
Приказ Управления государственной охраны объектов культурного наследия Нижегородской области от 14.03.2024 № 76
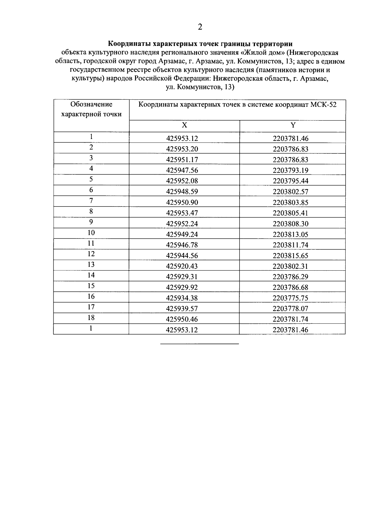
"Об утверждении границы и режима использования территории объекта культурного наследия регионального значения "Жилой дом" (Нижегородская область, городской округ город Арзамас, г. Арзамас, ул. Коммунистов, 13)"
(Зарегистрирован 01.04.2024 № 25321-518-076)
Номер опубликования: 5201202404030009
Дата опубликования: 03.04.2024
Страница №4 из 6:
Увеличить