Официальное опубликование правовых актов
ОФИЦИАЛЬНОЕ ОПУБЛИКОВАНИЕ
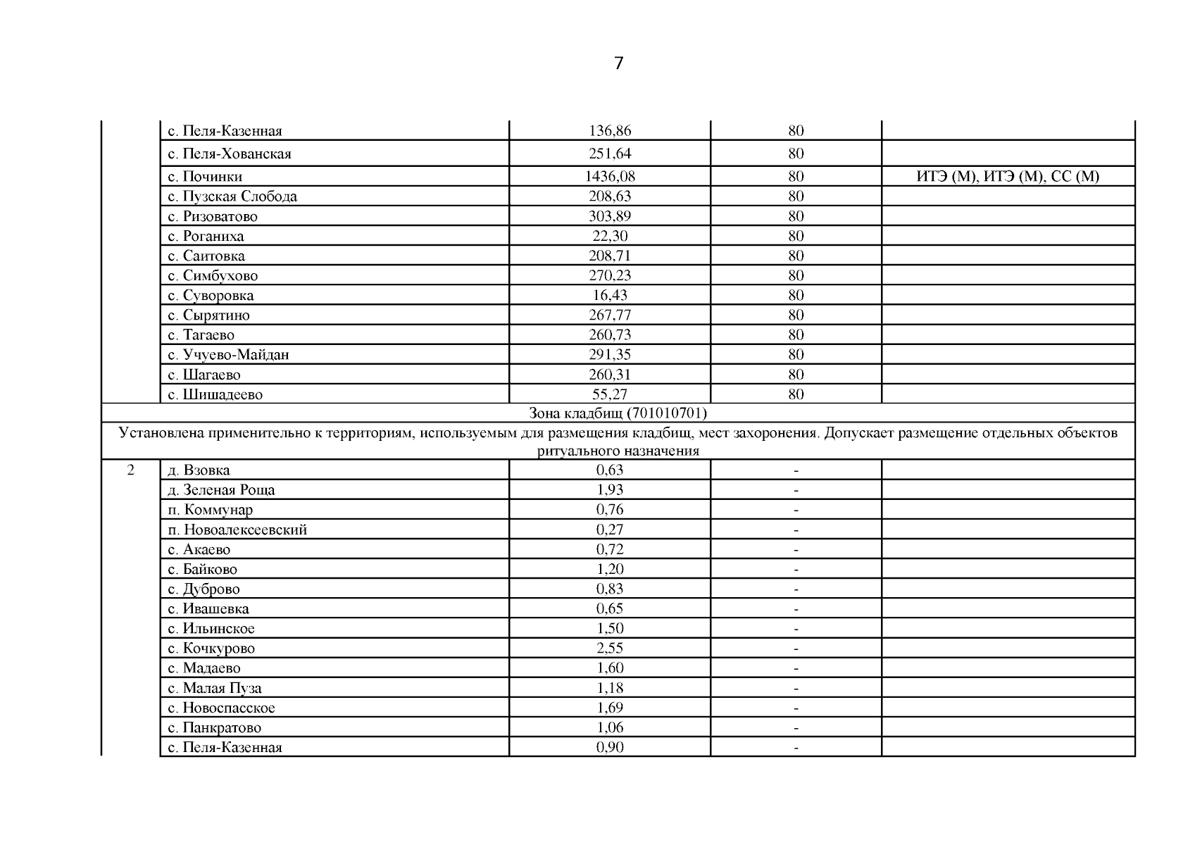
Приказ Министерства градостроительной деятельности и развития агломераций Нижегородской области от 19.12.2023 № 04-15/11
"Об утверждении генерального плана Починковского муниципального округа Нижегородской области"
(Зарегистрирован 29.01.2024 № 25005-330-004-15/11)
Номер опубликования: 5201202402010006
Дата опубликования: 01.02.2024
Страница №9 из 15:
Увеличить