Официальное опубликование правовых актов
ОФИЦИАЛЬНОЕ ОПУБЛИКОВАНИЕ
Приказ Министерства градостроительной деятельности и развития агломераций Нижегородской области от 22.12.2023 № 06-01-03/58
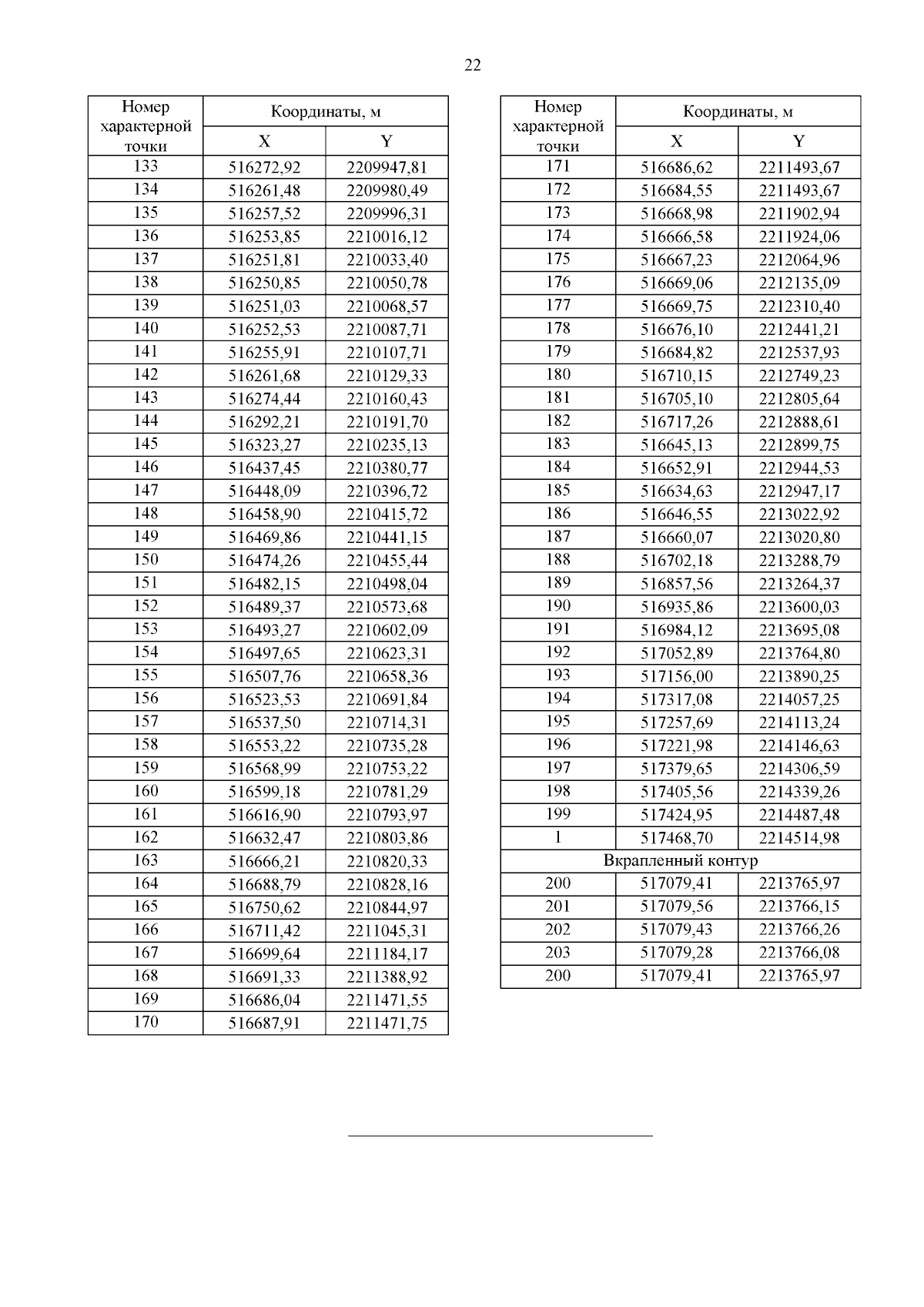
"Об утверждении документации по планировке территории, расположенной в г.о.г. Нижний Новгород (в районе п. Новинки, д. Бешенцево, СНТ "Расцвет") и Кстовском муниципальном округе Нижегородской области"
(Зарегистрирован 22.01.2024 № 24948-330-006-01-03/58)
Номер опубликования: 5201202401250010
Дата опубликования: 25.01.2024
Страница №24 из 24:
Увеличить