Официальное опубликование правовых актов
ОФИЦИАЛЬНОЕ ОПУБЛИКОВАНИЕ
Приказ Министерства экологии и природных ресурсов Нижегородской области от 03.02.2023 № 319-26/23П/од
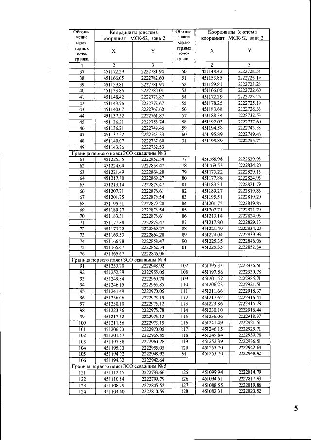
"Об установлении зон санитарной охраны проектируемого водозаборного участка, расположенного в 3 км северо-восточнее с. Крутой Майдан Вадского муниципального округа Нижегородской области"
(Зарегистрирован 15.02.2023 № 22541-319-319-26/23П/од)
Номер опубликования: 5201202302210003
Дата опубликования: 21.02.2023
Страница №5 из 9:
Увеличить