Официальное опубликование правовых актов
ОФИЦИАЛЬНОЕ ОПУБЛИКОВАНИЕ
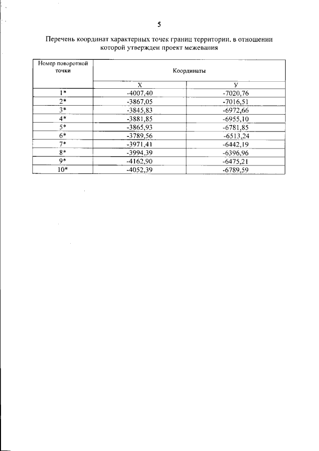
Приказ Министерства градостроительной деятельности и развития агломераций Нижегородской области от 13.04.2021 № 07-02-03/17 "Об утверждении документации по планировке территории (проект планировки территории, проект межевания территории) в пос. Желнино, с южной стороны улицы Чкалова в городском округе город Дзержинск Нижегородской области"
(Зарегистрирован 14.05.2021 № 17188-330-007-02-03/17)
Номер опубликования: 5201202105210005
Дата опубликования: 21.05.2021
Страница №7 из 10:
Увеличить