Официальное опубликование правовых актов
ОФИЦИАЛЬНОЕ ОПУБЛИКОВАНИЕ
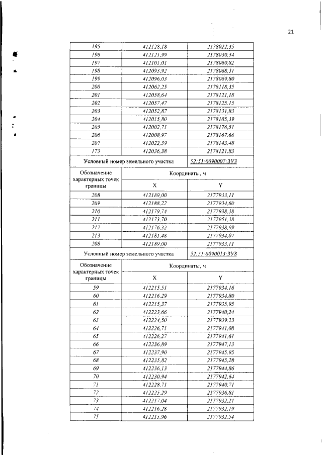
Приказ Министерства градостроительной деятельности и развития агломераций Нижегородской области от 02.03.2021 № 06-01-03/11 "Об утверждении документации по внесению изменений в проект планировки и межевания территории участка автомобильной дороги 22 ОП МЗ 22Н-0110 Подъезд к п. Идеал от а/д Владимир-Муром-Арзамас в районе р. Иржа в Ардатовском районе Нижегородской области"
(Зарегистрирован 30.03.2021 № 16973-330-006-01-03/11)
Номер опубликования: 5201202104010001
Дата опубликования: 01.04.2021
Страница №23 из 26:
Увеличить