Официальное опубликование правовых актов
ОФИЦИАЛЬНОЕ ОПУБЛИКОВАНИЕ
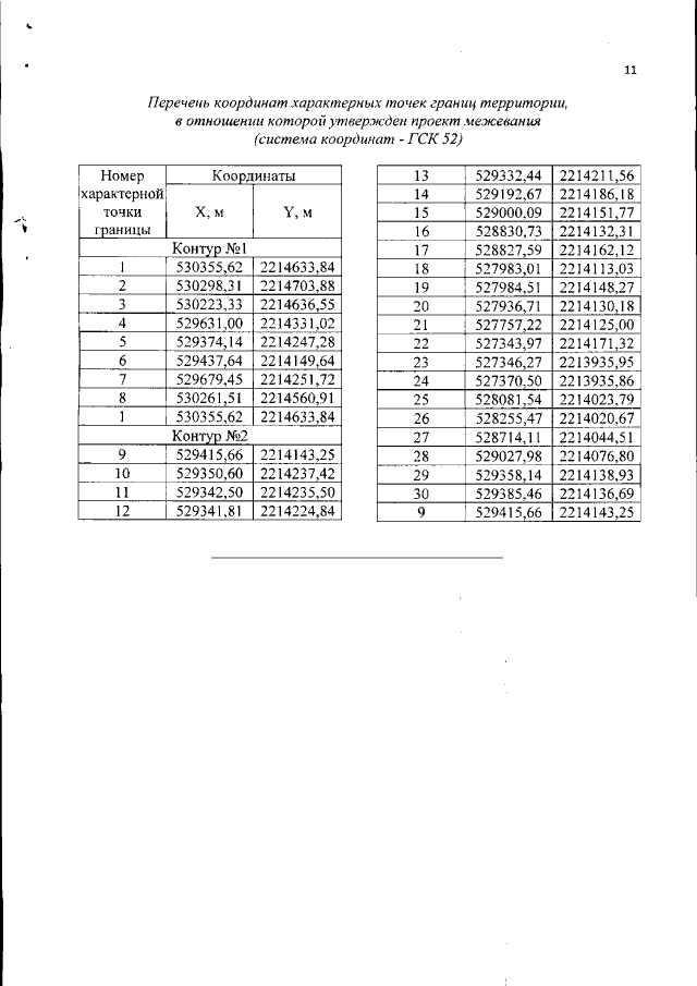
Приказ Министерства градостроительной деятельности и развития агломераций Нижегородской области от 04.02.2021 № 06-01-03/7 "Об утверждении документации по внесению изменений в документацию по планировке территории, расположенной по правому берегу реки Ока между Молитовским и Канавинским мостом в Нижегородском районе города Нижнего Новгорода"
(Зарегистрирован 03.03.2021 № 16865-330-006-01-03/7)
Номер опубликования: 5201202103050023
Дата опубликования: 05.03.2021
Страница №13 из 13:
Увеличить