Официальное опубликование правовых актов
ОФИЦИАЛЬНОЕ ОПУБЛИКОВАНИЕ
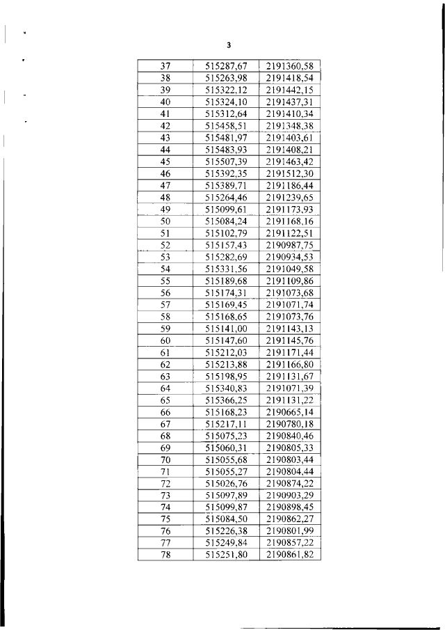
Приказ Министерства градостроительной деятельности и развития агломераций Нижегородской области от 27.01.2021 № 06-01-03/4 "Об утверждении проекта планировки и межевания территории, расположенной в районе д. Сысоевка в Богородском муниципальном округе Нижегородской области"
(Зарегистрирован 26.02.2021 № 16849-330-006-01-03/4)
Номер опубликования: 5201202103030001
Дата опубликования: 03.03.2021
Страница №5 из 25:
Увеличить