Официальное опубликование правовых актов
ОФИЦИАЛЬНОЕ ОПУБЛИКОВАНИЕ
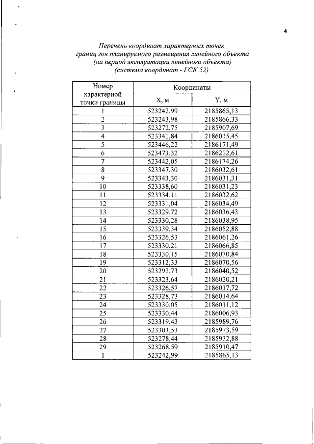
Приказ Министерства градостроительной деятельности и развития агломераций Нижегородской области от 27.01.2021 № 06-01-03/5 "Об утверждении документации по планировке территории, расположенной в районе Нижегородского шоссе, 20 в городском округе город Дзержинск Нижегородской области"
(Зарегистрирован 18.02.2021 № 16823-330-006-01-03/5)
Номер опубликования: 5201202102190007
Дата опубликования: 19.02.2021
Страница №6 из 11:
Увеличить