Официальное опубликование правовых актов
ОФИЦИАЛЬНОЕ ОПУБЛИКОВАНИЕ
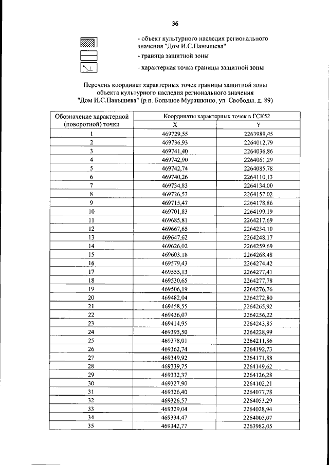
Приказ Управления государственной охраны объектов культурного наследия Нижегородской области от 04.12.2020 № 379 "Об утверждении описания местоположения границ защитных зон объектов культурного наследия, расположенных на территории Большемурашкинского района Нижегородской области, режима использования земель в границах защитных зон объектов культурного наследия"
(Зарегистрирован 24.12.2020 № 16586-518-379)
Номер опубликования: 5201202012280015
Дата опубликования: 28.12.2020
Страница №39 из 72:
Увеличить