Официальное опубликование правовых актов
ОФИЦИАЛЬНОЕ ОПУБЛИКОВАНИЕ
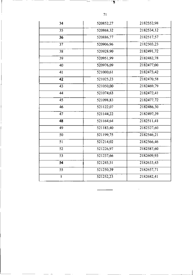
Приказ Управления государственной охраны объектов культурного наследия Нижегородской области от 24.11.2020 № 369
"Об утверждении описания местоположения границ защитных зон объектов культурного наследия, расположенных на территории городского округа город Дзержинск Нижегородской области, режима использования земель в границах защитных зон объектов культурного наследия"
(Зарегистрирован 14.12.2020 № 16397-518-369)
Номер опубликования: 5201202012160005
Дата опубликования: 16.12.2020
Страница №74 из 75:
Увеличить