Официальное опубликование правовых актов
ОФИЦИАЛЬНОЕ ОПУБЛИКОВАНИЕ
Приказ Управления государственной охраны объектов культурного наследия Нижегородской области от 10.11.2020 № 354
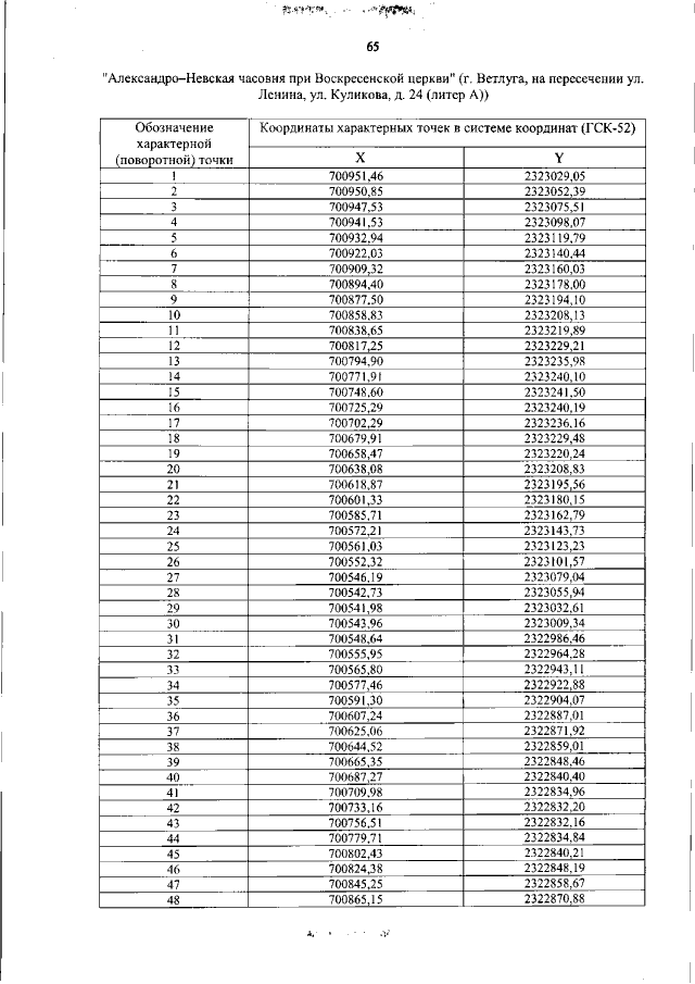
"Об утверждении описания местоположения границ защитных зон объектов культурного наследия, расположенных на территории Ветлужского района Нижегородской области, режима использования земель в границах защитных зон объектов культурного наследия"
(Зарегистрирован 30.11.2020 № 16232-518-354)
Номер опубликования: 5201202012040003
Дата опубликования: 04.12.2020
Страница №68 из 88:
Увеличить