Приказ Управления государственной охраны объектов культурного наследия Нижегородской области от 09.09.2020 № 260
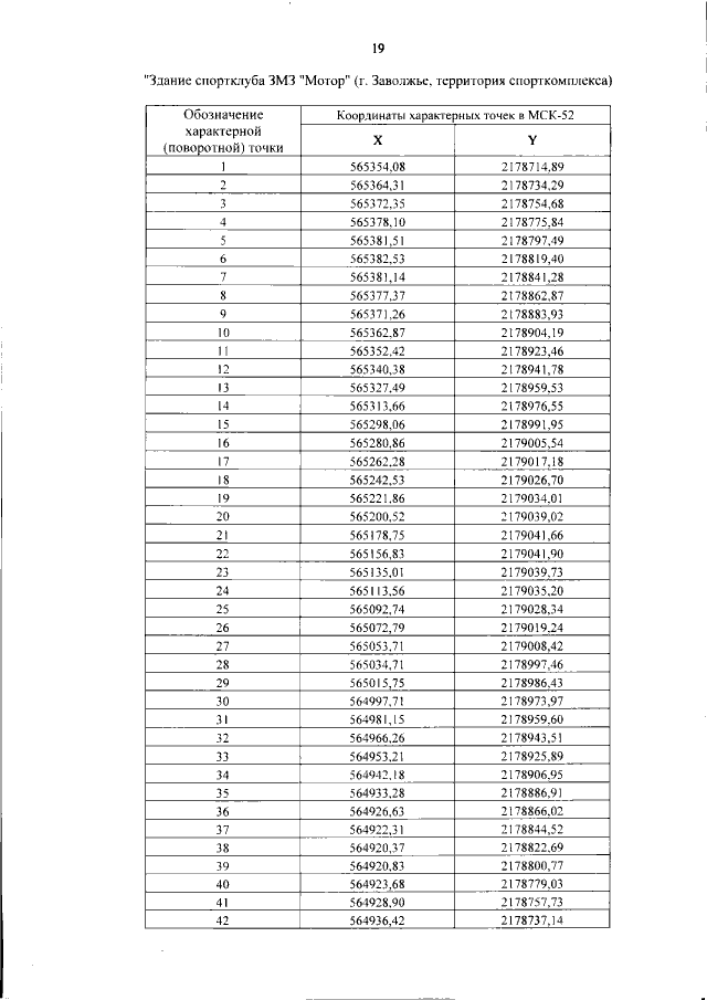
"Об утверждении описания местоположения границ защитных зон объектов культурного наследия, расположенных на территории Городецкого района Нижегородской области, режима использования земель в границах защитных зон объектов культурного наследия"
(Зарегистрирован 21.09.2020 № 15528-518-260)
"Об утверждении описания местоположения границ защитных зон объектов культурного наследия, расположенных на территории Городецкого района Нижегородской области, режима использования земель в границах защитных зон объектов культурного наследия"
(Зарегистрирован 21.09.2020 № 15528-518-260)
Номер опубликования: 5201202009250004
Дата опубликования:
25.09.2020
