Официальное опубликование правовых актов
ОФИЦИАЛЬНОЕ ОПУБЛИКОВАНИЕ
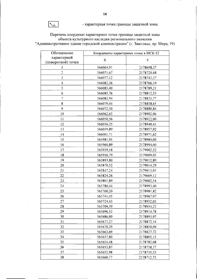
Приказ Управления государственной охраны объектов культурного наследия Нижегородской области от 09.09.2020 № 260
"Об утверждении описания местоположения границ защитных зон объектов культурного наследия, расположенных на территории Городецкого района Нижегородской области, режима использования земель в границах защитных зон объектов культурного наследия"
(Зарегистрирован 21.09.2020 № 15528-518-260)
Номер опубликования: 5201202009250004
Дата опубликования: 25.09.2020
Страница №16 из 54:
Увеличить