Официальное опубликование правовых актов
ОФИЦИАЛЬНОЕ ОПУБЛИКОВАНИЕ
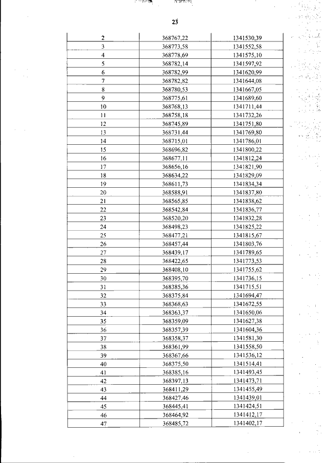
Приказ Управления государственной охраны объектов культурного наследия Нижегородской области от 20.07.2020 № 210
"Об утверждении описания местоположения границ защитных зон объектов культурного наследия, расположенных на территории Вознесенского района Нижегородской области, режима использования земель в границах защитных зон объектов культурного наследия"
(Зарегистрирован 04.08.2020 № 15374-518-210)
Номер опубликования: 5201202008050009
Дата опубликования: 05.08.2020
Страница №25 из 27:
Увеличить