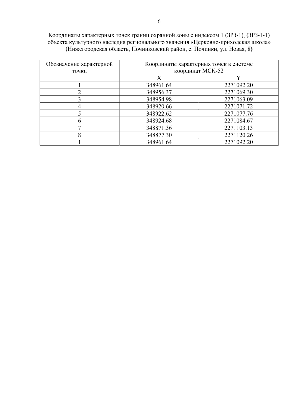
Постановление Правительства Нижегородской области от 17.12.2024 № 794
"Об установлении зон охраны объекта культурного наследия регионального значения "Церковно-приходская школа" (Нижегородская область, Починковский район, с. Починки, ул. Новая, 8), утверждении режимов использования земель и требований к градостроительным регламентам в границах территорий данных зон"
"Об установлении зон охраны объекта культурного наследия регионального значения "Церковно-приходская школа" (Нижегородская область, Починковский район, с. Починки, ул. Новая, 8), утверждении режимов использования земель и требований к градостроительным регламентам в границах территорий данных зон"
Номер опубликования: 5200202412180004
Дата опубликования:
18.12.2024
