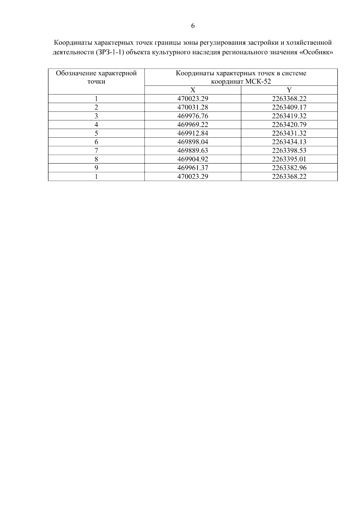
Постановление Правительства Нижегородской области от 28.08.2024 № 505
"Об установлении зон охраны объекта культурного наследия регионального значения "Особняк" (Нижегородская область, р.п. Большое Мурашкино, ул. Нижегородская, 69) и утверждении требований к градостроительным регламентам в границах территорий данных зон"
"Об установлении зон охраны объекта культурного наследия регионального значения "Особняк" (Нижегородская область, р.п. Большое Мурашкино, ул. Нижегородская, 69) и утверждении требований к градостроительным регламентам в границах территорий данных зон"
Номер опубликования: 5200202408300008
Дата опубликования:
30.08.2024
