Официальное опубликование правовых актов
ОФИЦИАЛЬНОЕ ОПУБЛИКОВАНИЕ
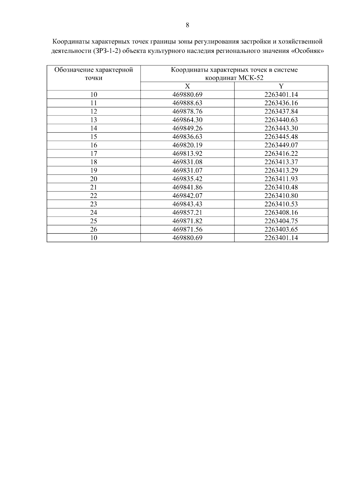
Постановление Правительства Нижегородской области от 28.08.2024 № 505
"Об установлении зон охраны объекта культурного наследия регионального значения "Особняк" (Нижегородская область, р.п. Большое Мурашкино, ул. Нижегородская, 69) и утверждении требований к градостроительным регламентам в границах территорий данных зон"
Номер опубликования: 5200202408300008
Дата опубликования: 30.08.2024
Страница №10 из 19:
Увеличить