Официальное опубликование правовых актов
ОФИЦИАЛЬНОЕ ОПУБЛИКОВАНИЕ
Постановление Правительства Нижегородской области от 21.08.2024 № 478
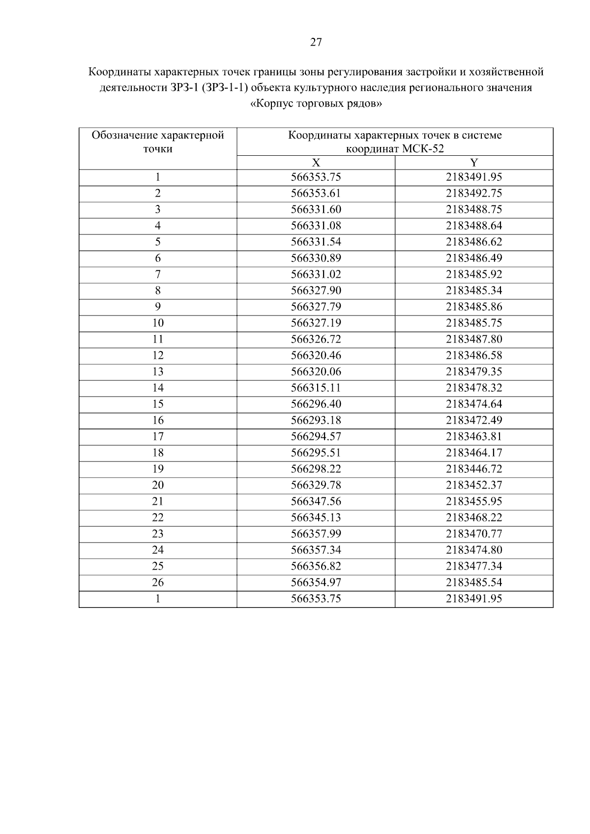
"Об установлении зон охраны объектов культурного наследия регионального значения, расположенных по ул. Горького, ул. Большой Кировский съезд в г. Городце Нижегородской области, и утверждении требований к градостроительным регламентам в границах территорий данных зон"
Номер опубликования: 5200202408230003
Дата опубликования: 23.08.2024
Страница №29 из 57:
Увеличить