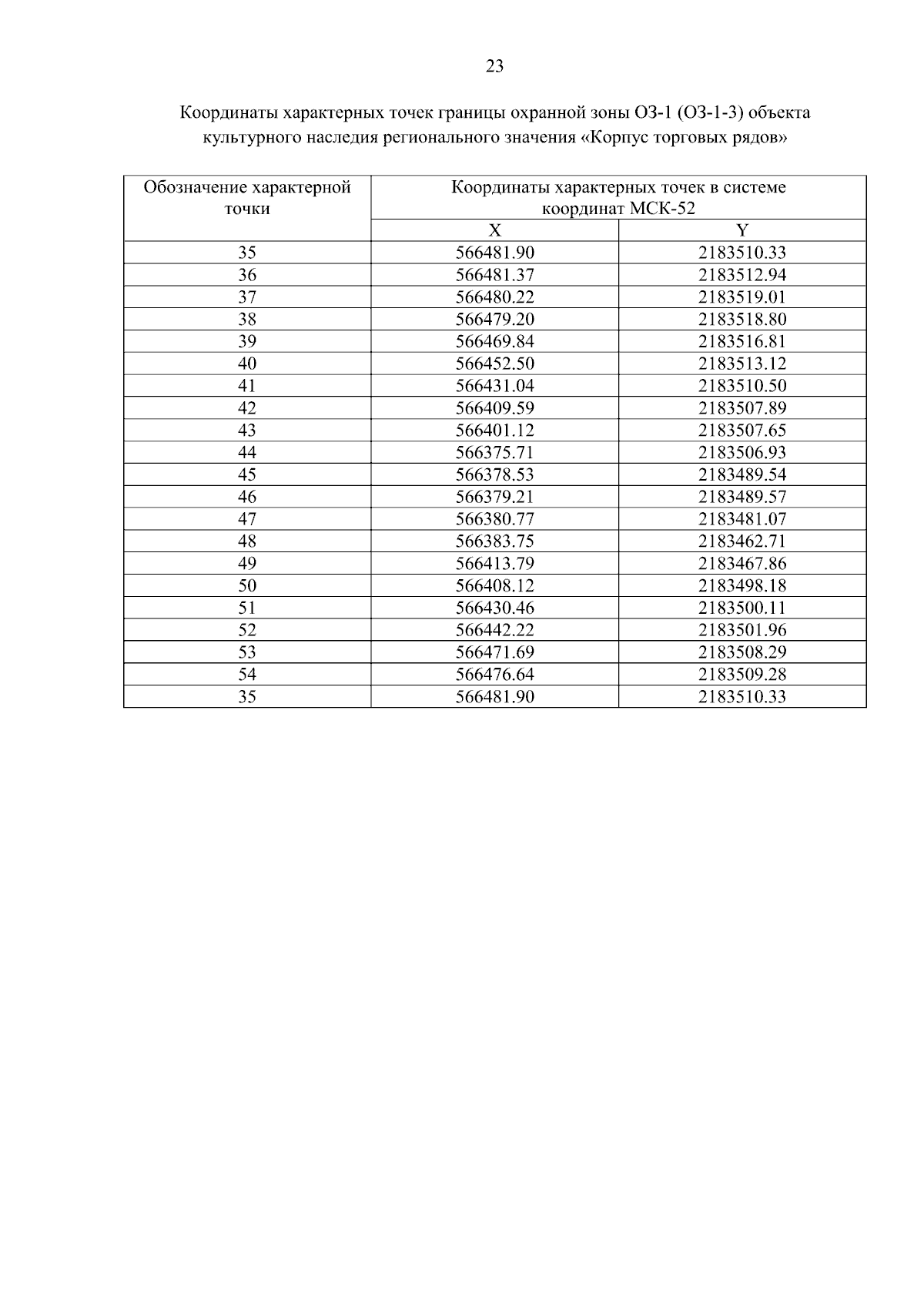
Постановление Правительства Нижегородской области от 21.08.2024 № 478
"Об установлении зон охраны объектов культурного наследия регионального значения, расположенных по ул. Горького, ул. Большой Кировский съезд в г. Городце Нижегородской области, и утверждении требований к градостроительным регламентам в границах территорий данных зон"
"Об установлении зон охраны объектов культурного наследия регионального значения, расположенных по ул. Горького, ул. Большой Кировский съезд в г. Городце Нижегородской области, и утверждении требований к градостроительным регламентам в границах территорий данных зон"
Номер опубликования: 5200202408230003
Дата опубликования:
23.08.2024
