Официальное опубликование правовых актов
ОФИЦИАЛЬНОЕ ОПУБЛИКОВАНИЕ
Постановление Правительства Нижегородской области от 14.09.2023 № 835
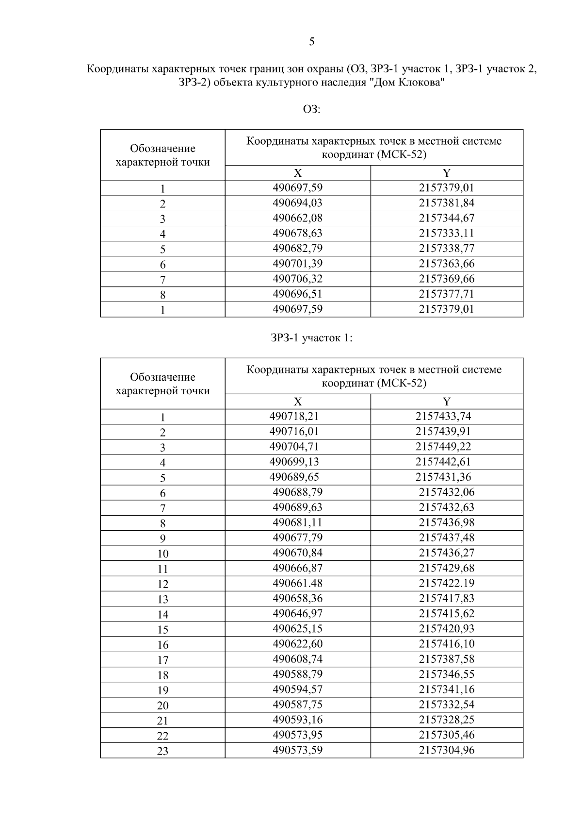
"Об установлении зон охраны объекта культурного наследия регионального значения "Дом Клокова" (Нижегородская область, г. Павлово, ул. Маяковского, 25) и утверждении требований к градостроительным регламентам в границах территорий данных зон"
Номер опубликования: 5200202309200009
Дата опубликования: 20.09.2023
Страница №7 из 14:
Увеличить