Официальное опубликование правовых актов
ОФИЦИАЛЬНОЕ ОПУБЛИКОВАНИЕ
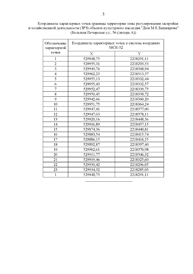
Постановление Правительства Нижегородской области от 23.03.2021 № 213 "Об установлении зон охраны объектов культурного наследия, расположенных на улице Большой Печерской в г. Нижнем Новгороде и утверждении требований к градостроительным регламентам в границах территорий данных зон"
Номер опубликования: 5200202103240032
Дата опубликования: 24.03.2021
Страница №5 из 12:
Увеличить