Официальное опубликование правовых актов
ОФИЦИАЛЬНОЕ ОПУБЛИКОВАНИЕ
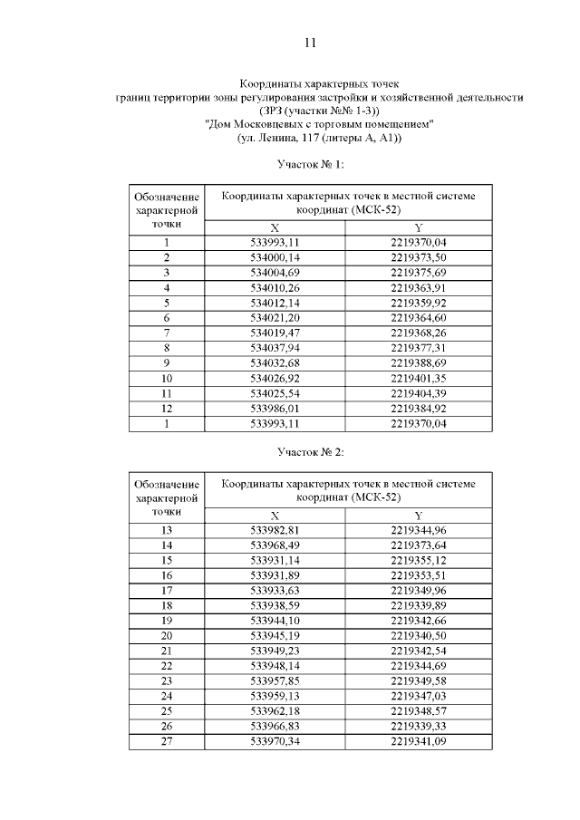
Постановление Правительства Нижегородской области от 15.10.2020 № 851 "Об установлении зон охраны объектов культурного наследия регионального значения, расположенных на улицах Ленина и Луначарского в г. Бор‚ и утверждении требований к градостроительным регламентам в границах территорий данных зон"
Номер опубликования: 5200202010160006
Дата опубликования: 16.10.2020
Страница №13 из 48:
Увеличить