Официальное опубликование правовых актов
ОФИЦИАЛЬНОЕ ОПУБЛИКОВАНИЕ
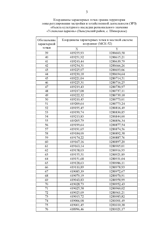
Постановление Правительства Нижегородской области от 24.07.2020 № 625 "Об установлении зон охраны объекта культурного наследия регионального значения "Успенская церковь" (Выксунский район, с. Шиморское) и утверждении требований к градостроительным регламентам в границах территорий данных зон"
Номер опубликования: 5200202007270006
Дата опубликования: 27.07.2020
Страница №5 из 17:
Увеличить