Официальное опубликование правовых актов
ОФИЦИАЛЬНОЕ ОПУБЛИКОВАНИЕ
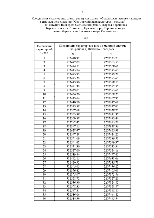
Постановление Правительства Нижегородской области от 23.03.2020 № 226
"Об установлении зон охраны объекта культурного наследия регионального значения "Сормовский парк культуры и отдыха" в г. Нижнем Новгороде и утверждении требований к градостроительным регламентам в границах территорий данных зон"
Номер опубликования: 5200202003240001
Дата опубликования: 24.03.2020
Страница №10 из 23:
Увеличить