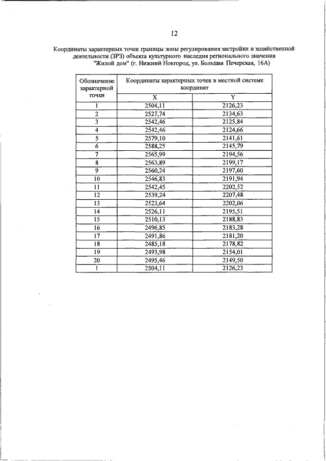
Постановление Правительства Нижегородской области от 28.12.2018 № 911
"Об установлении зон охраны объектов культурного наследия регионального значения, расположенных на улицах Большой Печерской, Минина, Нестерова, Семашко в г. Нижнем Новгороде, и утверждении требований к градостроительным регламентам в границах данных зон"
"Об установлении зон охраны объектов культурного наследия регионального значения, расположенных на улицах Большой Печерской, Минина, Нестерова, Семашко в г. Нижнем Новгороде, и утверждении требований к градостроительным регламентам в границах данных зон"
Номер опубликования: 5200201812280006
Дата опубликования:
28.12.2018
