Официальное опубликование правовых актов
ОФИЦИАЛЬНОЕ ОПУБЛИКОВАНИЕ
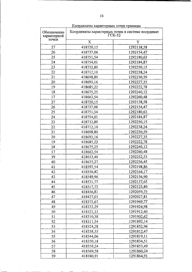
Постановление Правительства Нижегородской области от 27.04.2017 № 274
"Об утверждении границ зон охраны объекта культурного наследия регионального значения "Архитектурный ансамбль Иверского женского монастыря" в г. Выксе, особых режимов использования земель и требований к градостроительным регламентам в границах данных зон"
Номер опубликования: 5200201705030013
Дата опубликования: 03.05.2017
Страница №17 из 25:
Увеличить