Постановление Правительства Московской области от 22.11.2024 № 1417-ПП
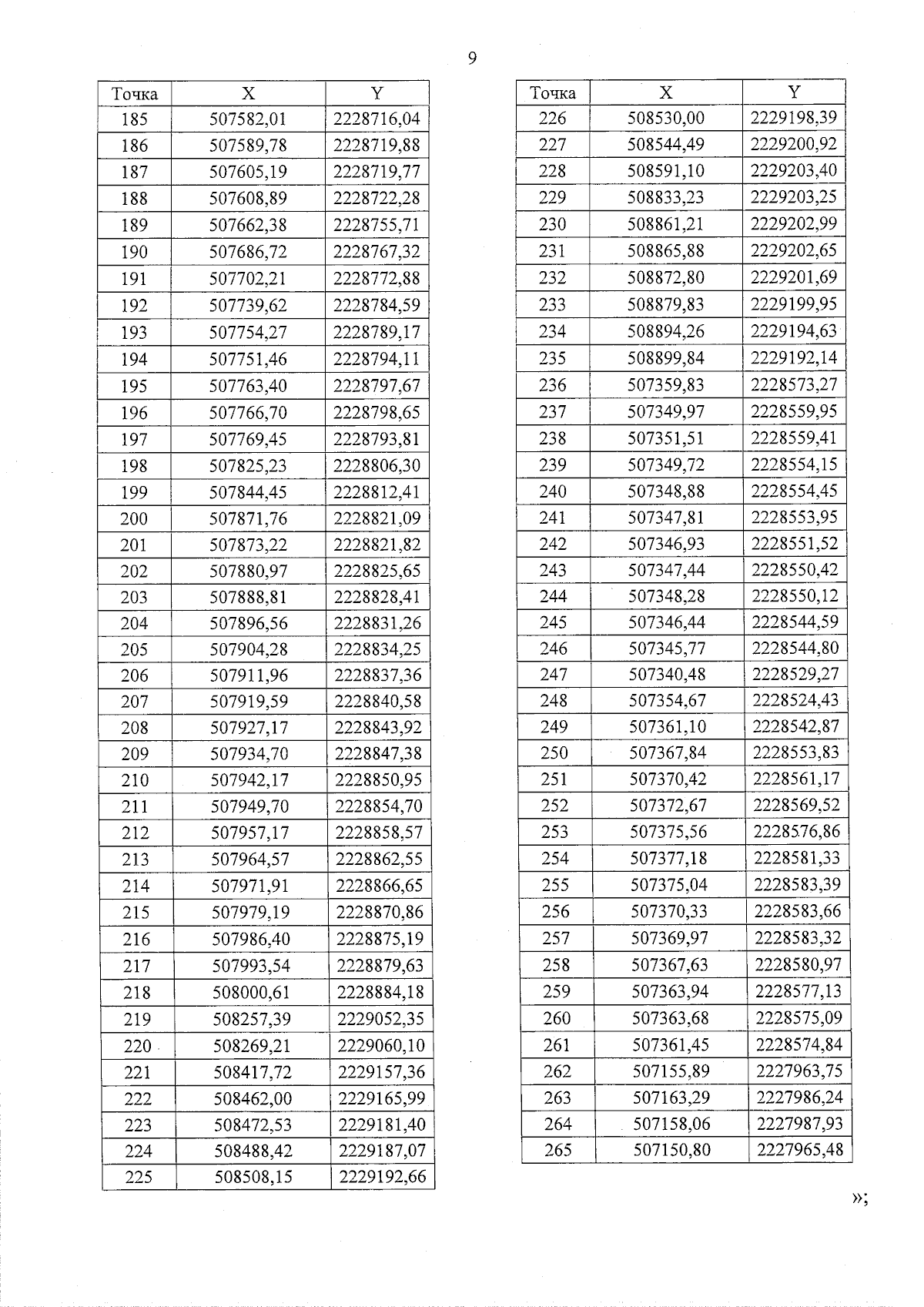
"О внесении изменений в постановление Правительства Московской области от 04.08.2022 № 805/26 "Об утверждении документации по планировке территории для реконструкции автомобильной дороги М-8 "Холмогоры" - Красноармейск в городе Красноармейске Городского округа Пушкинский Московской области"
"О внесении изменений в постановление Правительства Московской области от 04.08.2022 № 805/26 "Об утверждении документации по планировке территории для реконструкции автомобильной дороги М-8 "Холмогоры" - Красноармейск в городе Красноармейске Городского округа Пушкинский Московской области"
Номер опубликования: 5000202411250004
Дата опубликования:
25.11.2024
