Официальное опубликование правовых актов
ОФИЦИАЛЬНОЕ ОПУБЛИКОВАНИЕ
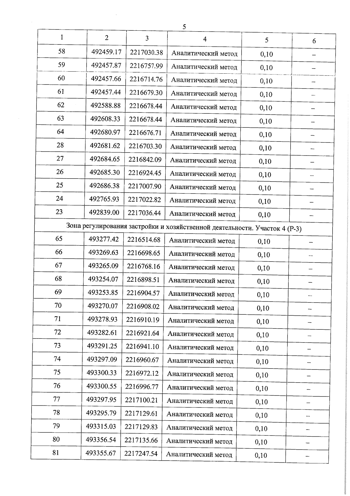
Постановление Правительства Московской области от 29.10.2024 № 1308-ПП
"Об установлении зон охраны объекта культурного наследия регионального значения "Церковь Георгия, 1737 г.", расположенного по адресу: Московская область, Городской округ Пушкинский, город Ивантеевка, улица Новоселки, дом 53, и об утверждении требований к градостроительным регламентам в границах территорий данных зон"
Номер опубликования: 5000202410290009
Дата опубликования: 29.10.2024
Страница №17 из 24:
Увеличить