Официальное опубликование правовых актов
ОФИЦИАЛЬНОЕ ОПУБЛИКОВАНИЕ
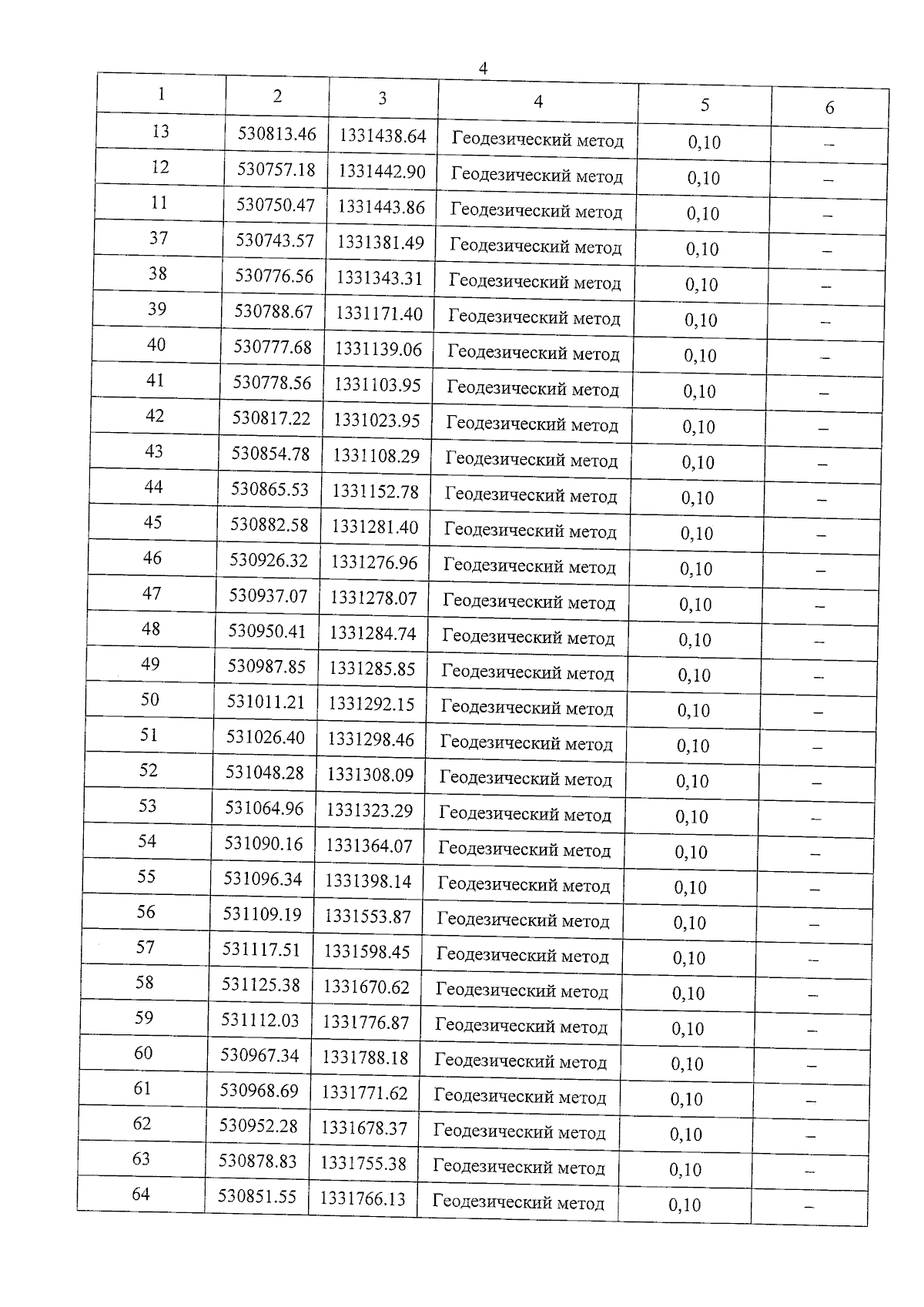
Постановление Правительства Московской области от 19.09.2024 № 1024-ПП
"Об установлении зон охраны объекта культурного наследия регионального значения "Церковь Преображения Господня, 1731 г.", расположенного по адресу: Московская область, городской округ Клин, деревня Борозда, дом 38А, и об утверждении требований к градостроительным регламентам в границах территорий данных зон"
Номер опубликования: 5000202409230006
Дата опубликования: 23.09.2024
Страница №17 из 24:
Увеличить