Официальное опубликование правовых актов
ОФИЦИАЛЬНОЕ ОПУБЛИКОВАНИЕ
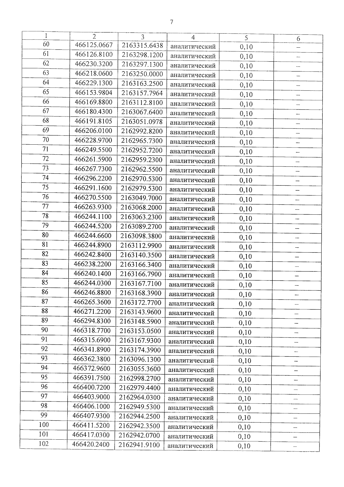
Постановление Правительства Московской области от 04.06.2024 № 556-ПП
"Об установлении зон охраны объекта культурного наследия федерального значения "Церковь Спаса, 1693—1701 гг.", расположенного по адресу: Московская область, Одинцовский городской округ, село Уборы, улица Парковая, дом 1, и об утверждении требований к градостроительным регламентам в границах территорий данных зон"
Номер опубликования: 5000202406060007
Дата опубликования: 06.06.2024
Страница №16 из 19:
Увеличить