Официальное опубликование правовых актов
ОФИЦИАЛЬНОЕ ОПУБЛИКОВАНИЕ
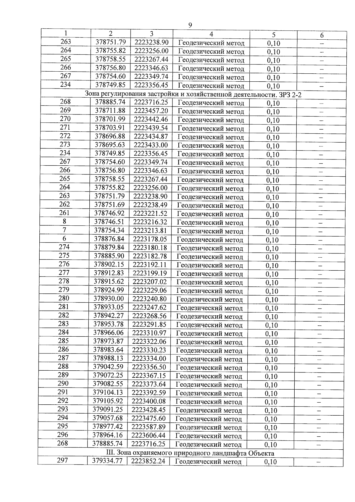
Постановление Правительства Московской области от 28.03.2024 № 287-ПП
"Об установлении зон охраны объекта культурного наследия регионального значения "Комплекс церкви Покрова Пресвятой Богородицы: церковь, вт. пол. XIX в.; ограда, 1900 г.", расположенного по адресу: Московская область, городской округ Ступино, село Воскресенки, и об утверждении требований к градостроительным регламентам в границах территорий данных зон"
Номер опубликования: 5000202404010008
Дата опубликования: 01.04.2024
Страница №20 из 26:
Увеличить