Официальное опубликование правовых актов
ОФИЦИАЛЬНОЕ ОПУБЛИКОВАНИЕ
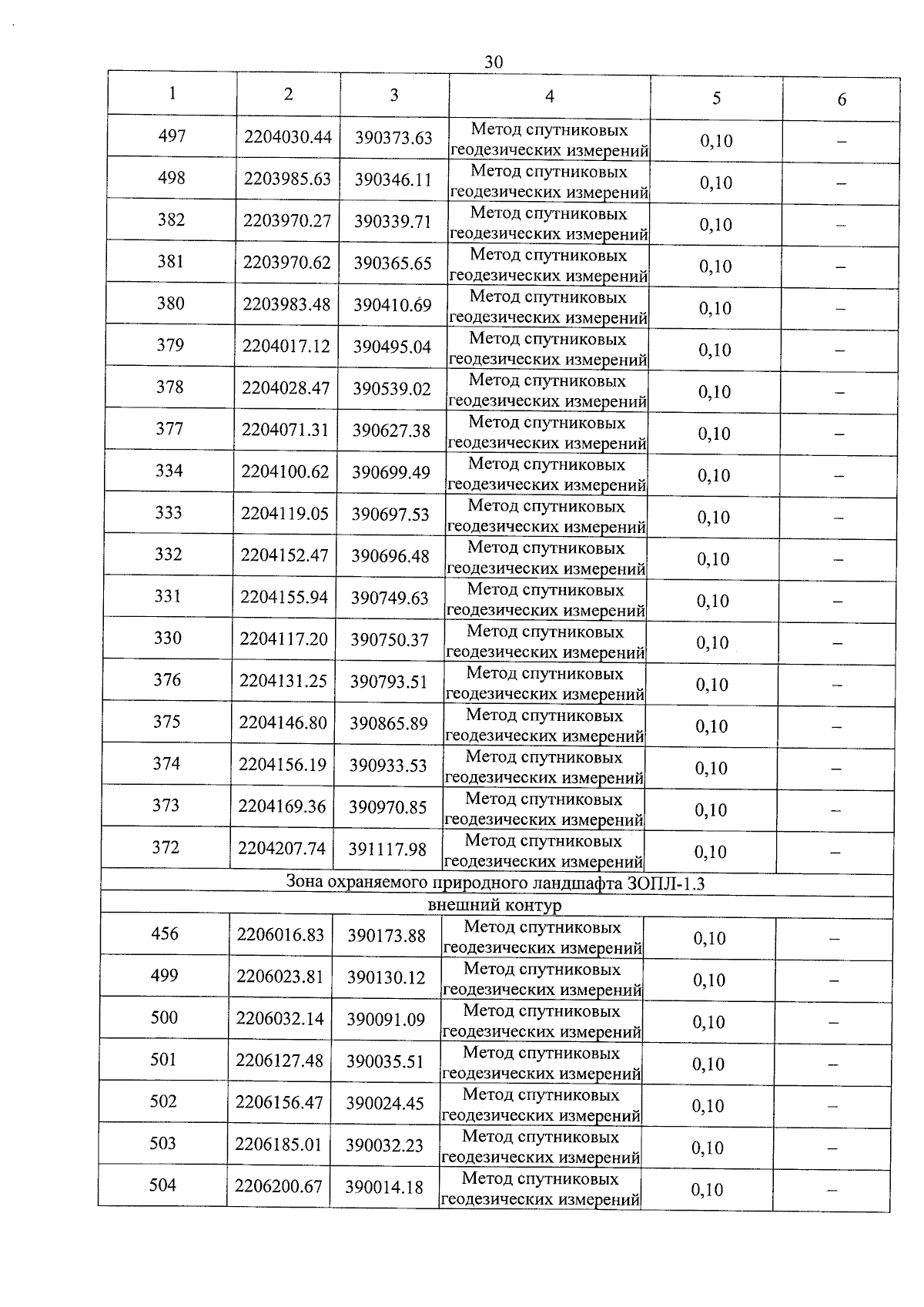
Постановление Правительства Московской области от 28.03.2024 № 288-ПП
"Об установлении зон охраны объекта культурного наследия федерального значения "Ансамбль усадьбы Отрада, XVIII в.", расположенного по адресу: Московская область, городской округ Ступино, село Семеновское, и об утверждении требований к градостроительным регламентам в границах территорий данных зон"
Номер опубликования: 5000202404010006
Дата опубликования: 01.04.2024
Страница №47 из 54:
Увеличить