Официальное опубликование правовых актов
ОФИЦИАЛЬНОЕ ОПУБЛИКОВАНИЕ
Постановление Правительства Московской области от 12.03.2024 № 208-ПП
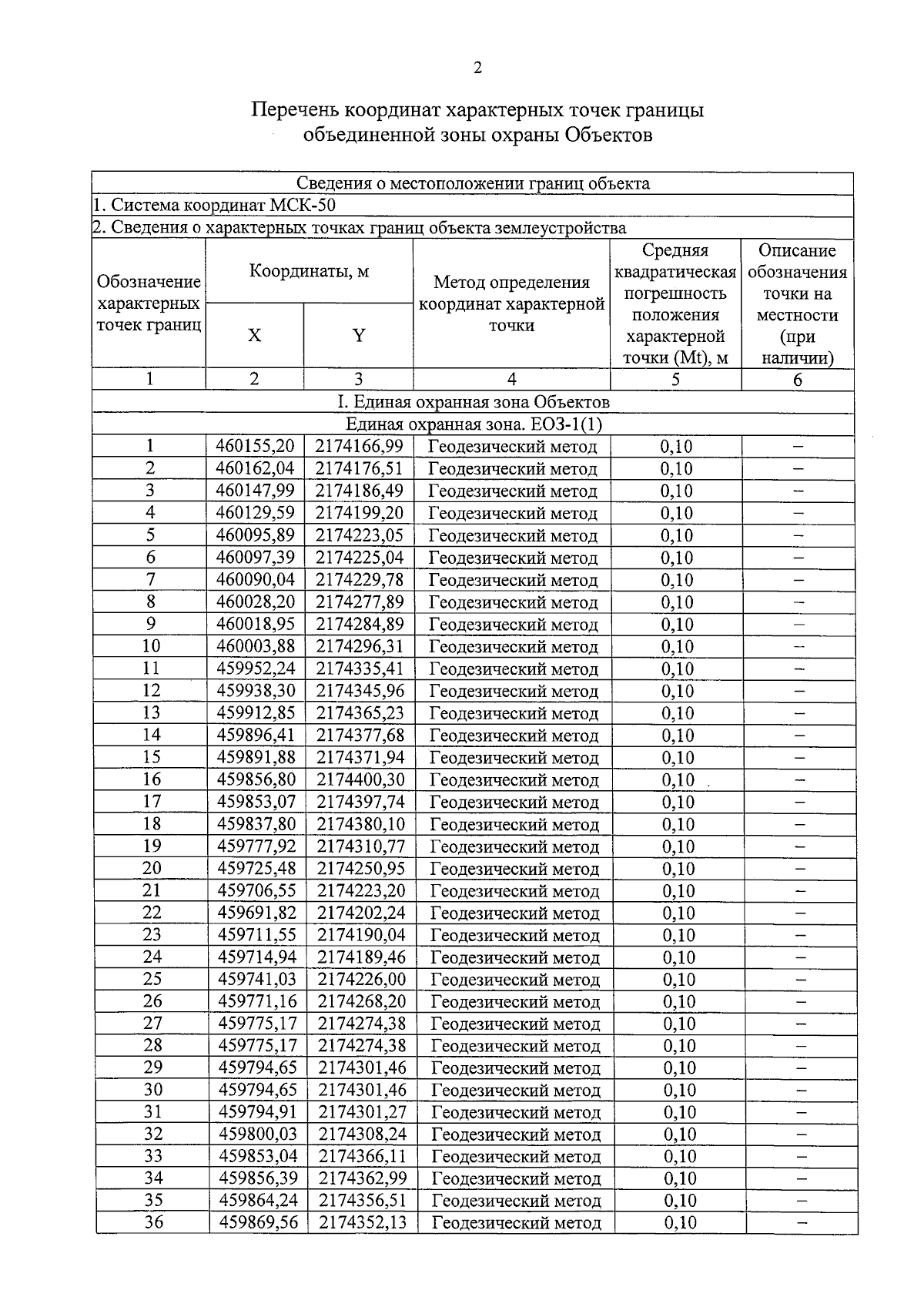
"Об установлении объединенной зоны охраны объекта культурного наследия регионального значения "Здание железнодорожного вокзала станции "Одинцово", 1898-1899 гг., архитектор Л.Н. Кекушев", расположенного по адресу: Московская область, Одинцовский городской округ, город Одинцово, Привокзальная площадь, дом 2, и объекта культурного наследия регионального значения "Контора кирпичного завода В.И. Якунчикова, кон. XIX в.", расположенного по адресу: Московская область, Одинцовский городской округ, город Одинцово, Коммунальный проезд, дом 1, и об утверждении требований к градостроительным регламентам в границах территории данной зоны"
Номер опубликования: 5000202403120002
Дата опубликования: 12.03.2024
Страница №15 из 22:
Увеличить