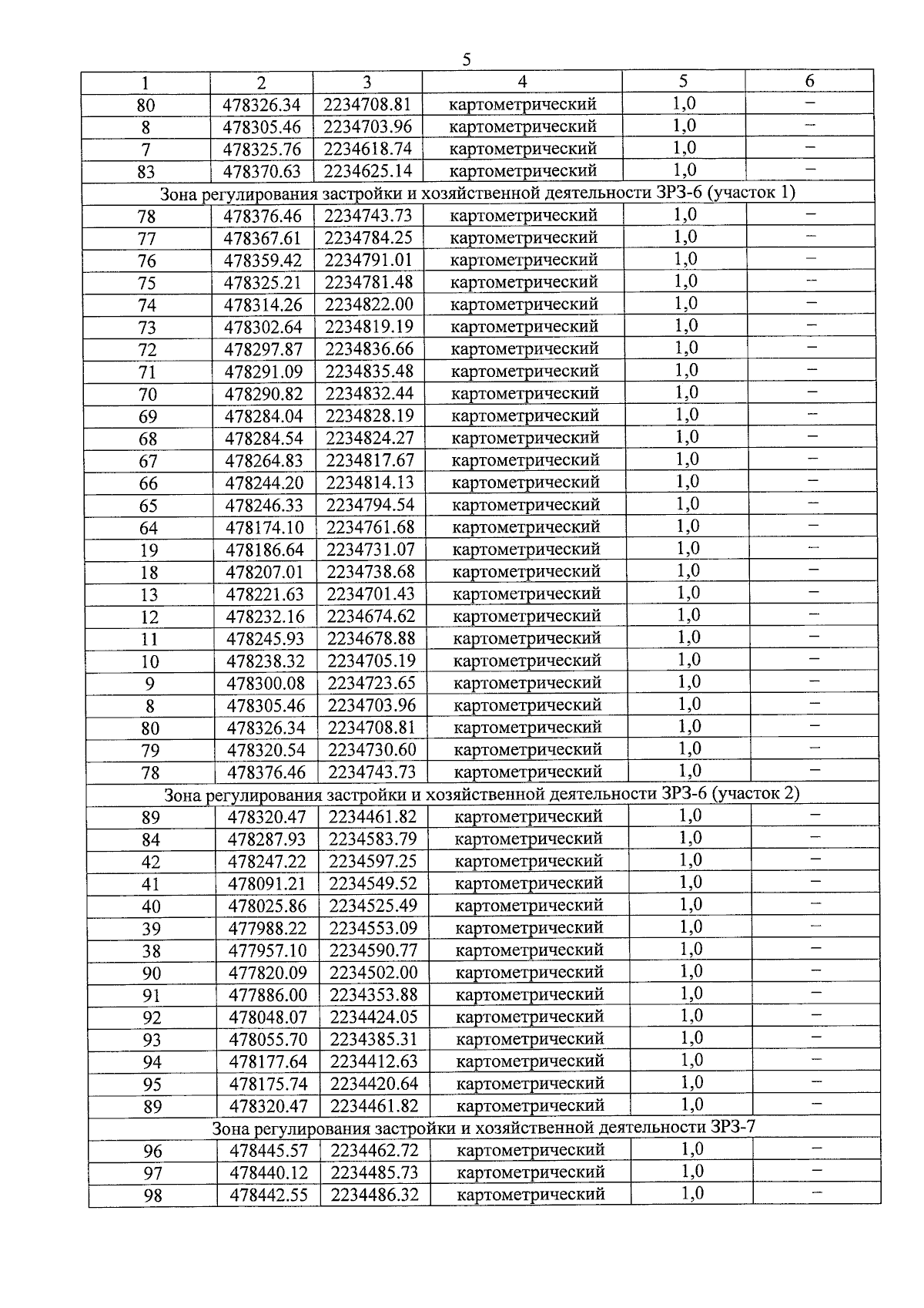
Постановление Правительства Московской области от 13.02.2024 № 112-ПП
"Об установлении зон охраны объекта культурного наследия регионального значения "Церковь Святой Троицы, 1903 г.", расположенного по адресу: Московская область, Богородский городской округ, село Балобаново, и об утверждении требований к градостроительным регламентам в границах территорий данных зон"
"Об установлении зон охраны объекта культурного наследия регионального значения "Церковь Святой Троицы, 1903 г.", расположенного по адресу: Московская область, Богородский городской округ, село Балобаново, и об утверждении требований к градостроительным регламентам в границах территорий данных зон"
Номер опубликования: 5000202402140011
Дата опубликования:
14.02.2024
