Официальное опубликование правовых актов
ОФИЦИАЛЬНОЕ ОПУБЛИКОВАНИЕ
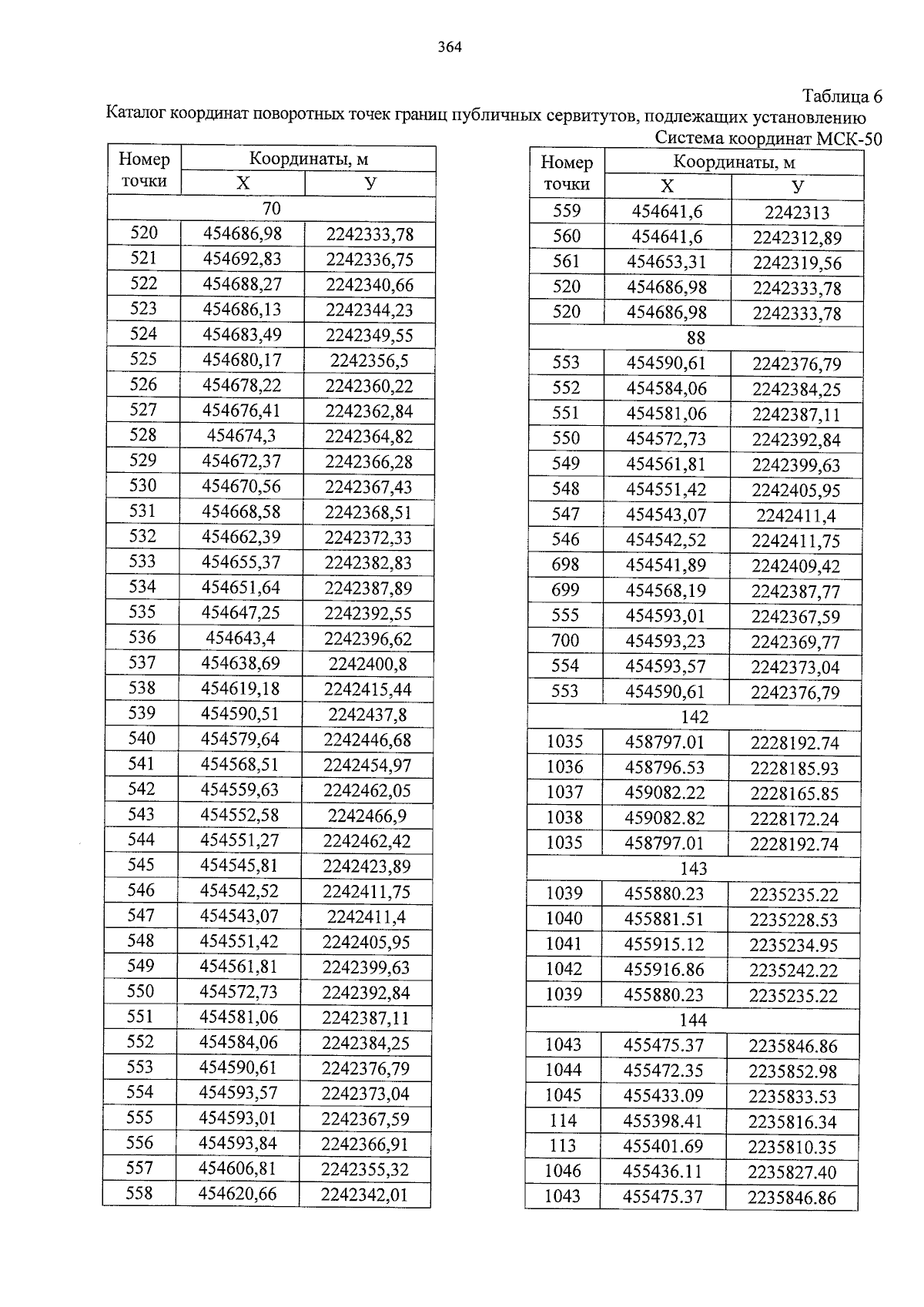
Постановление Правительства Московской области от 27.12.2023 № 1321-ПП
"Об утверждении документации по планировке территории для строительства автомобильной дороги Москва — Егорьевск — Тума — Касимов (МЕТК) в Раменском городском округе Московской области"
Номер опубликования: 5000202312290006
Дата опубликования: 29.12.2023
Страница №365 из 484:
Увеличить