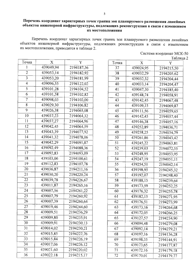
Постановление Правительства Московской области от 16.05.2022 № 478/16
"Об утверждении проекта планировки территории для строительства линии рельсового скоростного пассажирского транспорта Бутово – Щербинка – Западное Домодедово и реконструкции автомобильной дороги Бутово – Щербинка – Домодедово на участке от улицы Садовая деревни Борисовка Городского округа Подольск Московской области до границы города Москвы"
"Об утверждении проекта планировки территории для строительства линии рельсового скоростного пассажирского транспорта Бутово – Щербинка – Западное Домодедово и реконструкции автомобильной дороги Бутово – Щербинка – Домодедово на участке от улицы Садовая деревни Борисовка Городского округа Подольск Московской области до границы города Москвы"
Номер опубликования: 5000202205170001
Дата опубликования:
17.05.2022
