Официальное опубликование правовых актов
ОФИЦИАЛЬНОЕ ОПУБЛИКОВАНИЕ
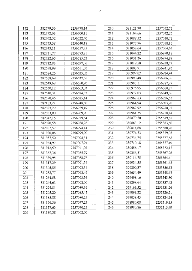
Постановление Правительства Московской области от 23.09.2021 № 916/32
"Об утверждении документации по планировке территории для строительства подъездной автомобильной дороги к садоводческим некоммерческим товариществам: "Родничок", "Рыжик", "Старица", "Белая дача" в Городском округе Коломна Московской области"
Номер опубликования: 5000202109240001
Дата опубликования: 24.09.2021
Страница №9 из 69:
Увеличить