Официальное опубликование правовых актов
ОФИЦИАЛЬНОЕ ОПУБЛИКОВАНИЕ
Постановление Правительства Московской области от 16.08.2021 № 680/26
"Об утверждении документации по планировке территории для строительства подъезда к объекту по обращению с отходами в Орехово-Зуевском городском округе Московской области"
Номер опубликования: 5000202108190002
Дата опубликования: 19.08.2021
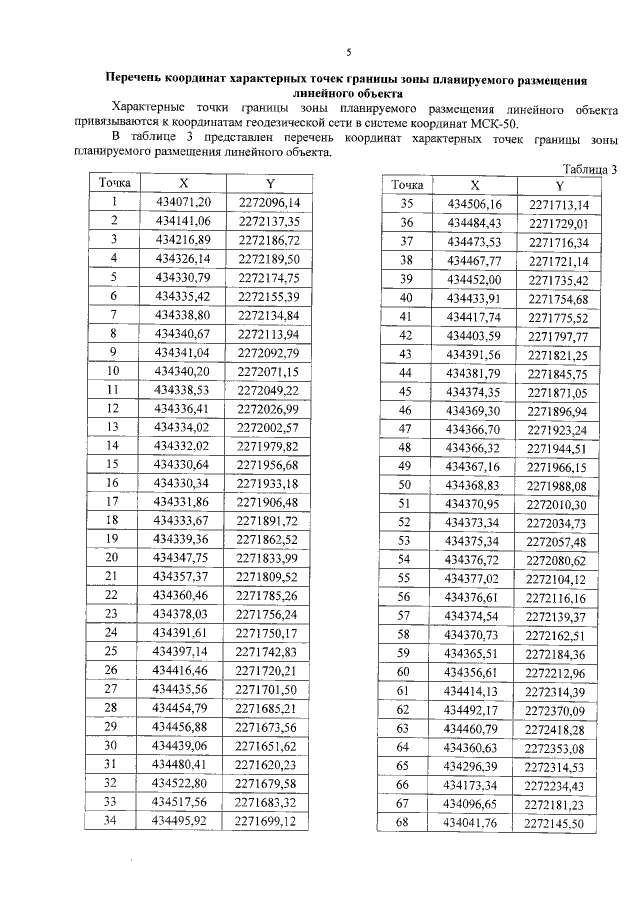
Страница №7 из 32:
Увеличить