Официальное опубликование правовых актов
ОФИЦИАЛЬНОЕ ОПУБЛИКОВАНИЕ
Постановление Правительства Московской области от 15.07.2021 № 576/22
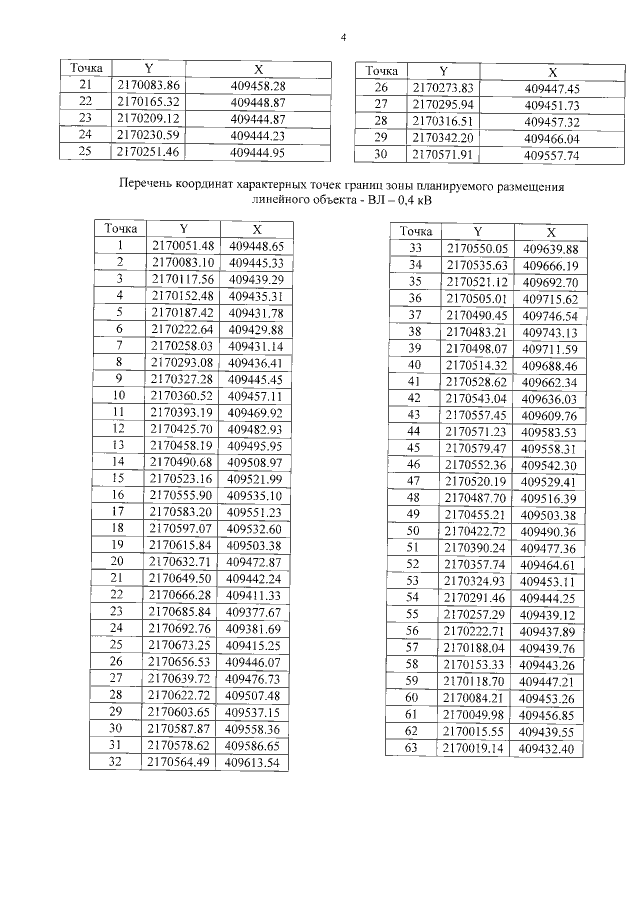
"Об утверждении документации по планировке территории для строительства подъездной автомобильной дороги к садоводческим некоммерческим объединениям: СНТ "Богдановка", СНТ "Простоквашино" вблизи деревни Богдановка городского округа Чехов Московской области"
Номер опубликования: 5000202107160003
Дата опубликования: 16.07.2021
Страница №6 из 20:
Увеличить