Официальное опубликование правовых актов
ОФИЦИАЛЬНОЕ ОПУБЛИКОВАНИЕ
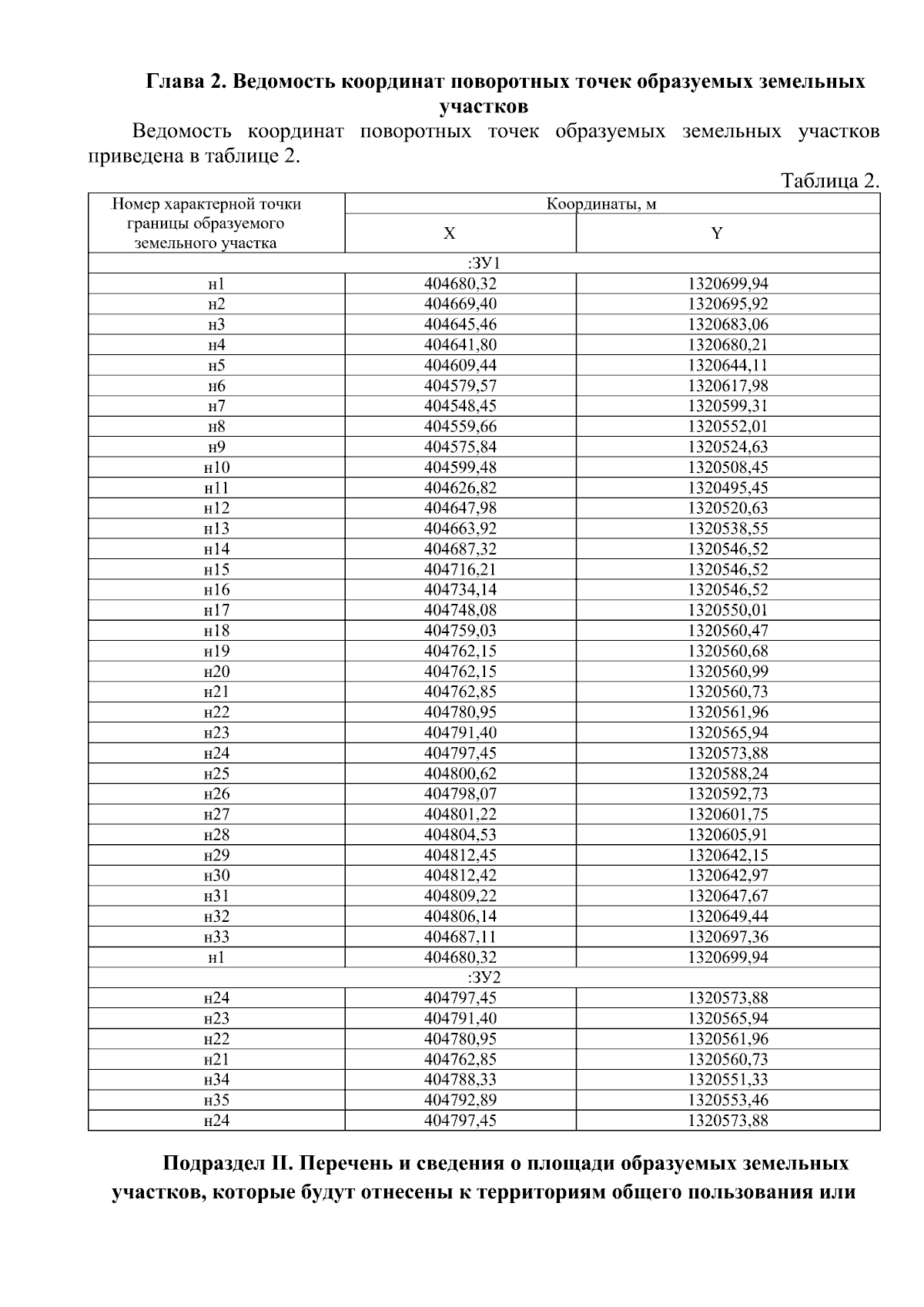
Приказ министерства строительства и архитектуры Липецкой области от 13.03.2025 № 103
"Об утверждении проекта межевания территории в районе улицы Лесная в селе Троицкое Липецкого муниципального округа, в части кадастрового квартала 48:13:1250234"
Номер опубликования: 4801202503180041
Дата опубликования: 18.03.2025
Страница №6 из 9:
Увеличить