Официальное опубликование правовых актов
ОФИЦИАЛЬНОЕ ОПУБЛИКОВАНИЕ
Приказ управления строительства и архитектуры Липецкой области от 11.11.2024 № 426
"Об утверждении документации по планировке территории (проект планировки и проект межевания) линейного объекта: "Реконструкция 2-го мостового перехода через реку Воронеж в городе Липецке"
Номер опубликования: 4801202411190016
Дата опубликования: 19.11.2024
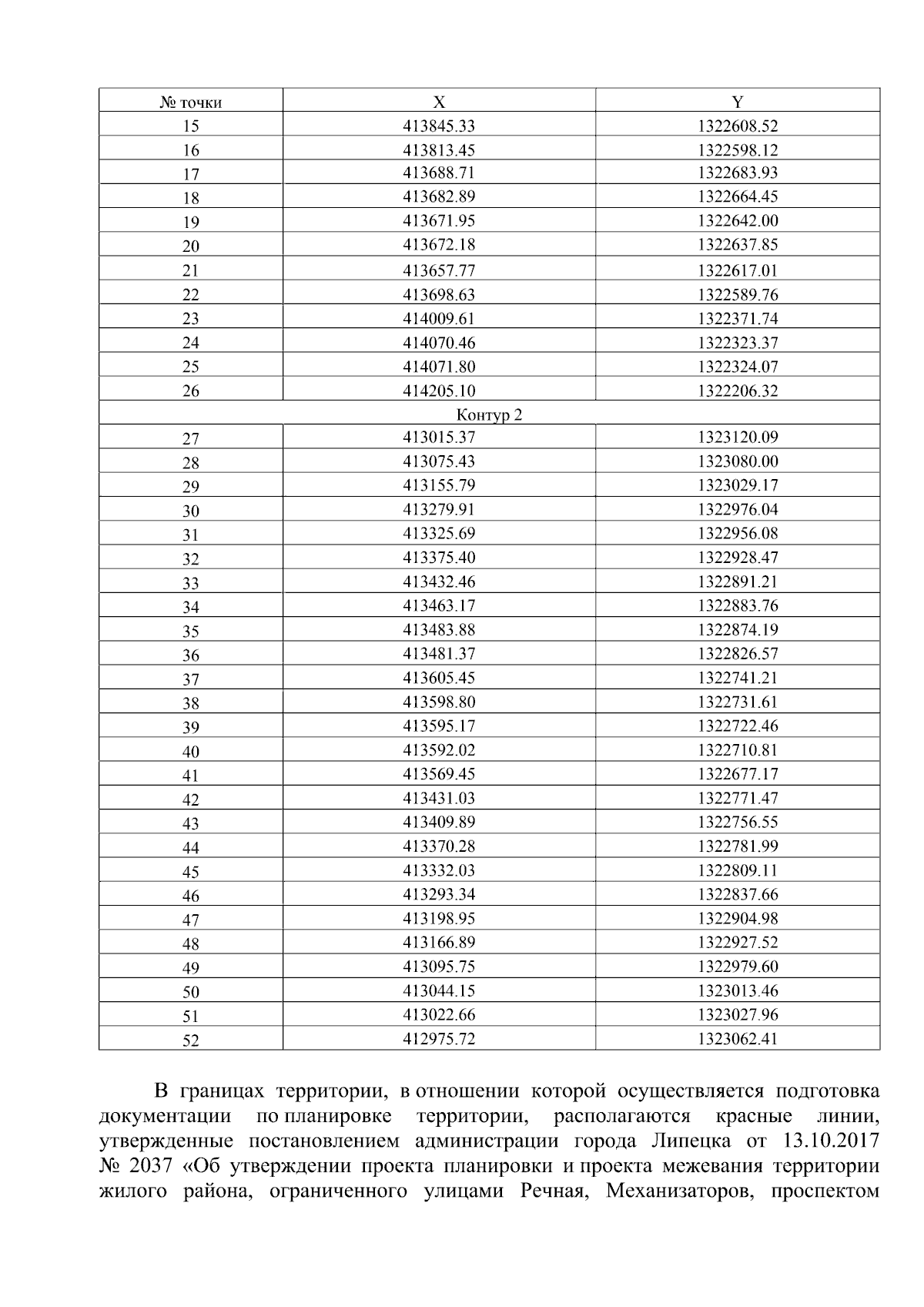
Страница №11 из 52:
Увеличить