Официальное опубликование правовых актов
ОФИЦИАЛЬНОЕ ОПУБЛИКОВАНИЕ
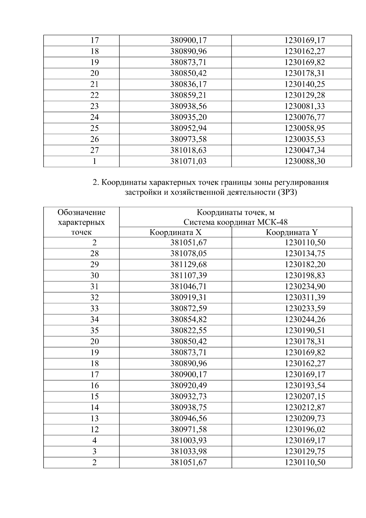
Постановление Правительства Липецкой области от 14.05.2024 № 283
"Об установлении границ зон охраны объекта культурного наследия регионального значения "Успенская церковь", 1875 г., расположенного по адресу: Липецкая область, Долгоруковский район, с. Дубовец, ул. Центральная, 6, и утверждении требований к градостроительным регламентам в границах территорий данных зон"
Номер опубликования: 4800202405200003
Дата опубликования: 20.05.2024
Страница №7 из 11:
Увеличить